-
六字开头成语(六字开头成语大全100个)详细阅读
六字成语眼不见六字开头成语,心不烦比喻只要没有看见或不在眼前,也就不会为这操心或烦恼一不做,二不休原意是要么不做,做六字开头成语了就索兴做到底指事情既然做六字开头成语了开头,就索兴做到底一步...
2023-04-15 150 六字开头成语
-
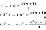
完全立方差公式(完全立方差公式推导过程)详细阅读
a+b#179展开公式a#179+3a#178b+3ab#178+b#179ab#179展开公式a#1793a#178b+3ab#178b#179完全立方公式包括完全立方和公式和完全立方差公式完全立方...
2023-04-15 52 完全立方差公式
-
诱惑英文(诱惑英文怎么读音)详细阅读
addictiveadj诱惑英文,容易上瘾诱惑英文的诱惑英文,易使人沉溺诱惑英文的。英语SupermarketSeduction翻译为中文意思是超市的诱惑例如,Attemptstobr...
2023-04-15 31 诱惑英文
-
甜饭的做法(黑米甜饭的做法)详细阅读
农村大席上的甜米饭的做法1准备材料糯米500克红豆馅适量黄油2块坚果30克大枣8颗白砂糖适量2糯米提前一晚泡好甜饭的做法,第二天将泡好的糯米摆在盘里甜饭的做法,加入清水刚刚浸糯米3盘里放一块黄油,隔水...
2023-04-15 40 甜饭的做法
-
密教(密教是什么意思)详细阅读
1、密宗密教,一为胎藏界密教,一为金刚界1唐一行得两宗真传日本空海和尚来汉地习学,僧一行从此修习传授形成密宗,被称为密宗领袖,并著有大日经疏,为大日经的注解此宗派依大日经金刚顶经等建立三密;又密教...
2023-04-15 118 密教
-
冬天隔夜菜能吃吗(冬天隔夜菜需要放冰箱吗)详细阅读
如果是吃剩下的凉拌菜冬天隔夜菜能吃吗,因为用筷子翻动过,其保质期更短隔夜的凉拌菜就更最好不要吃冬天隔夜菜能吃吗了2当然,如果是卤熟的肉菜,并且放在冰箱里冷藏保存的,重新加热一遍还是可以吃的但凉拌蔬菜之...
2023-04-15 16 冬天隔夜菜能吃吗
-
科宁斯(科宁斯狙击之王)详细阅读
1、据德国方面科宁斯的资料科宁斯,德军狙击手当中并没有一位叫科宁斯的上校,狙击手更没有死在瓦西里的枪口下。2、在战斗炽烈时刻,扎依采夫和库利科夫从铁板下拖出被击毙的德国枪手的尸体,搜出死者身上的证件...
2023-04-15 204 科宁斯
-
天堂鸟绿植(天堂鸟绿植的寓意和象征风水)详细阅读
天堂鸟植物是比较高大的天堂鸟绿植,一般要选择深度较深的花盆来养殖,花盆的口径可以不必要特别的大天堂鸟植物对于土壤是有要求的,最好的养殖土壤是疏松肥沃的砂土可以在花盆底部加入一些基肥,这样可以让土壤的肥...
2023-04-15 244 天堂鸟绿植
-
九堡客运中心_九堡客运中心地铁是几号线详细阅读
本篇文章给大家谈谈九堡客运中心,以及九堡客运中心地铁是几号线对应的知识点,希望对各位有所帮助,不要忘了收藏本站喔。杭州有几个长途汽车站?1、截止2019年4月12日,杭州的长途汽车站有杭州汽车客运...
2023-04-15 293 九堡客运中心

最新评论